閱讀 | 訂閱
閱讀 | 訂閱
技術前沿

上光所在高重頻飛秒激光大氣成絲方麵取得進展

fun88网页下载 來源:上光所2023-07-18 我要評論(0 )   

近期,中國科學院上海光學精密機械研究所強場激光物理國家重點實驗室研究團隊發現了高重頻mJ量級飛秒激光成絲(si) 大氣成絲(si) 過程中激光重複頻率越高光絲(si) 光強越高的現象,並提...

近期,中國科學院上海光學精密機械研究所強場激光物理國家重點實驗室研究團隊發現了高重頻mJ量級飛秒激光成絲(si) 大氣成絲(si) 過程中激光重複頻率越高光絲(si) 光強越高的現象,並提出了一種基於(yu) “低密度孔”的飛秒激光大氣成絲(si) 脈衝(chong) 累加效應的物理圖像。相關(guan) 論文發表於(yu) High Power Laser Science and Engineering。

隨著kHz乃至百kHz重頻飛秒強激光技術的快速發展,高重頻飛秒激光大氣成絲(si) 為(wei) 激光加工、穿霧通信、激光成雲(yun) 致雨、激光引雷等應用提供了前所未有的機遇。源於(yu) 空氣分子毫秒量級的光致熱弛豫過程,高重頻飛秒強激光大氣成絲(si) 過程中的脈衝(chong) 累加效應不可避免地會(hui) 發生,深入理解脈衝(chong) 累加效應對高重頻激光成絲(si) 過程的影響是進一步開拓激光大氣成絲(si) 新應用的關(guan) 鍵。圍繞上述關(guan) 鍵問題,研究團隊利用重頻高達100kHz、脈衝(chong) 能量0.4mJ的飛秒激光開展了大氣成絲(si) 研究,發現重頻越高光絲(si) 越長,單脈衝(chong) 熒光減弱,光絲(si) 誘導的三次諧波越強,誘導高壓放電擊穿閾值顯著降低,初步提出了高重頻通過脈衝(chong) 累加效應產(chan) 生了低密度的空氣通道的物理機製 [Advanced Photonics Research 4, 2200338 (2023)]。


圖1 不同脈衝能量下100Hz和1000Hz重頻飛秒激光大氣成絲光強空間演化的理論計算結果:(a) 0.1 mJ, (b) 0.2 mJ, (c) 0.7 mJ and (d) 1.2 mJ。
在本項工作中,研究人員通過數值模擬計算了單發飛秒激光脈衝的成絲過程,得到光絲等離子體密度的空間分布,根據等離子體密度計算等離子體的複合熱,結合熱傳導方程得到不同重複頻率下光絲誘導的“低密度孔”情況。通過“低密度孔”修正飛秒激光脈衝非線性傳輸數值模擬方程的相關係數,從而得到不同重頻激光脈衝的成絲結果,發現了飛秒強激光大氣成絲光強隨重頻升高而增大的現象。通過測量光絲誘導的氮氣分子和氮氣離子熒光表征光絲內部的光強,實驗上證實了理論預期,成功地解釋了不同重複頻率飛秒激光脈衝誘導大氣光絲內部光強的變化規律,為深入理解高重頻飛秒激光大氣成絲、開拓其新應用提供了可靠的科學依據。

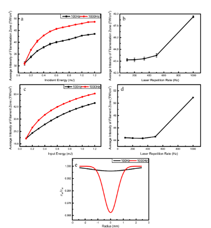
圖2 100Hz和1000Hz重頻激光非線性傳輸平均強度隨激光脈衝能量變化(a)和激光脈衝能量為1.2mJ時,光絲內部光強隨激光重頻變化(b)的實驗結果。(c)和(d)為對應的數值模擬結果。(e) 不同重複頻率下低密度區的空氣分子密度分布情況。

轉載請注明出處。

免責聲明

① 凡本網未注明其他出處的作品,版權均屬於(yu) fun88网页下载,未經本網授權不得轉載、摘編或利用其它方式使用。獲本網授權使用作品的,應在授權範圍內(nei) 使 用,並注明"來源:fun88网页下载”。違反上述聲明者,本網將追究其相關(guan) 責任。
② 凡本網注明其他來源的作品及圖片,均轉載自其它媒體(ti) ,轉載目的在於(yu) 傳(chuan) 遞更多信息,並不代表本媒讚同其觀點和對其真實性負責,版權歸原作者所有,如有侵權請聯係我們(men) 刪除。
③ 任何單位或個(ge) 人認為(wei) 本網內(nei) 容可能涉嫌侵犯其合法權益,請及時向本網提出書(shu) 麵權利通知,並提供身份證明、權屬證明、具體(ti) 鏈接(URL)及詳細侵權情況證明。本網在收到上述法律文件後,將會(hui) 依法盡快移除相關(guan) 涉嫌侵權的內(nei) 容。

相關文章
網友點評
0相關評論
精彩導讀