近日,中國人民大學物理係王偉(wei) 民教授和中科院物理所李玉同教授研究團隊,利用自主開發的極化QED-PIC程序(PIC:particle-in-cell,粒子模擬)對未來的百拍瓦激光與(yu) 固體(ti) 相互作用中產(chan) 生的大電量、高密度正負電子束的自旋極化進行了探索研究。發現采用激光固體(ti) 靶實驗上常用構型(即線偏振激光與(yu) 具有預等離子體(ti) 的固體(ti) 靶相互作用)就可在百拍瓦激光裝置上產(chan) 生極化率30%、電量30納庫的正電子束,其角通量可達到1012sr-1,在特定能量段上收集的正電子極化率可達到60%。
該工作也表明在未來百拍瓦激光裝置上的一般的激光固體(ti) 靶實驗中,將不可避免地產(chan) 生大量的極化正電子和電子,因此電子/正電子的自旋和光子偏振效應的對激光等離子體(ti) 相互作用的影響需要認真考慮。該研究成果以“Dense Polarized Positrons from Laser-Irradiated Foil Targets in the QED Regime”為(wei) 題於(yu) 2022年7月11日發表在Physical Review Letters上。

圖1. (a)激光固體(ti) 靶相互作用產(chan) 生極化正電子的方案:一束線偏振激光入射到一個(ge) 在靶前具有微米密度標長的固體(ti) 靶上。激光作用結束後,(b) 正電子數密度和 (c) 極化率關(guan) 於(yu) 橫向偏轉角和正電子能量的二維分布,以及關(guan) 於(yu) 橫向偏轉角的一維分布。
自旋極化的正電子在高能物理,材料物理和實驗室天體(ti) 物理等領域具有廣泛的用途。目前,傳(chuan) 統極化正電子源是基於(yu) Bethe-Heitler機製通過圓偏振伽馬光或縱向極化電子轟擊高Z固體(ti) 靶實現的,但是單發的正電子產(chan) 額隻有飛庫量級(10-15庫侖(lun) ),難以滿足未來正負電子對撞機所需的納庫(10-9庫侖(lun) )以及極化正負電子等離子體(ti) 物理研究中的要求。如何獲得大電量和高密度的極化正電子仍然是一個(ge) 巨大的挑戰。
利用極端強激光激發的強場量子電動力學(QED)效應也能產(chan) 生極化的正電子束。近期國內(nei) 外強激光研究機構成功建造了數拍瓦超強激光裝置,並正在建造更強的百拍瓦量級激光裝置,譬如上海光機所建造的SULF、SEL裝置,中物院八所建造的數拍瓦、百拍瓦激光裝置,美國upgraded OMEGA EP裝置,歐洲的ELI裝置等。這些裝置輸出的激光脈衝(chong) 的聚焦強度能夠達到1023-1025W/cm2,激光場強度可達1015-1016V/m,由這樣的極端強激光與(yu) 物質相互作用從(cong) 目前的經典、相對論領域進入到強場量子電動力學(QED)主導的領域。在強場QED領域內(nei) ,受外場偏轉的高能電子會(hui) 通過非線性Compton散射輻射高能伽馬光子,而伽馬光子又可以通過非線性Breit-Wheeler過程高效地湮滅為(wei) 正負電子對。之前的研究表明,如果采用非對稱強激光(橢圓偏振激光或雙色線偏振激光)和高能電子束對撞,產(chan) 生的正電子將是自旋極化的。但是,受限於(yu) 光學器件較低的損傷(shang) 閾值,構造超強的非對稱激光場是十分困難的;並且已有的激光尾場加速獲得的GeV電子束的電量一般為(wei) 數十皮庫(10-12庫侖(lun) ),這導致產(chan) 生的正電子數目低於(yu) 皮庫量級。
國內(nei) 外多項研究表明利用十拍瓦、百拍瓦激光與(yu) 等離子體(ti) 相互作用可以產(chan) 生高密度的正電子,然而這些正電子極化性質仍然不清楚,這是因為(wei) 目前廣泛使用、對以上問題進行研究的QED-PIC程序忽略了自旋極化效應。該團隊繼2016年開發了國內(nei) 首個(ge) QED-PIC程序(arXiv:1608.06356)之後,在2021年開發了國際上首個(ge) 包含電子/正電子自旋極化和光子偏振效應的QED-PIC程序(New Journal of Physics 23, 075005 (2021)),從(cong) 而具備了研究以上問題的能力。
最近,該團隊利用開發的程序對百拍瓦量級的激光和固體(ti) 靶作用進行了研究,其中采用了常規的線偏振激光脈衝(chong) (激光場初始對稱)以及靶的前表麵有激光預脈衝(chong) 產(chan) 生的微米標長的預等離子體(ti) 。模擬結果表明,一旦激光強度超過1024W/cm2時,正電子就會(hui) 出現明顯的極化,並且此極化依賴於(yu) 偏轉角度。對於(yu) 偏轉角大於(yu) 20度的正電子,其極化率可以達到30%。正電子和電子的極化可歸結為(wei) 它們(men) 產(chan) 生和脫離激光作用區域時感受到了非對稱的激光場。雖然激光場在入射時是對稱的,但是由於(yu) 激光場在高密度靶前表麵的等離子體(ti) 趨膚層附近被強烈地吸收和反射,同時正電子和電子可以自由地通過此趨膚層。因而,正電子和電子隻經曆了部分的激光場就進入到高密等離子體(ti) 內(nei) ,這導致了它們(men) 在趨膚層附近經曆了高度不對稱的亞(ya) 周期激光場,從(cong) 而獲得了具有角度依賴的自旋極化。
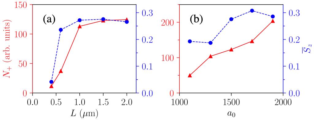
在真實實驗中,由於(yu) 激光預脈衝(chong) 是無法避免的,該工作的模擬結果表明它在靶前產(chan) 生的預等離子體(ti) 會(hui) 對正電子的極化和產(chan) 額都具有重要的作用(如圖2所示)。因此,對於(yu) 未來的百拍瓦激光與(yu) 固體(ti) 靶相互作用,極化正電子將普遍存在。這些極化的高密度正電子束可以用於(yu) 研究極化正負等離子體(ti) 物理,也可以經過後續加速後應用於(yu) 未來正負電子對撞機中。

圖2.正電子產(chan) 額和極化率隨(a)預等離子體(ti) 密度標長和(b)激光場強的變化。
論文第一作者為(wei) 博士生宋懷航,共同通訊作者為(wei) 王偉(wei) 民教授和李玉同教授。該研究工作得到了國家重點研發計劃(2018YFA0404801),國家自然科學基金委項目(11775302,11827807),中國科學院戰略性先導科技專(zhuan) 項(XDA25050300,XDA25010300),中國人民大學教授啟動基金(20XNLG01)的支持。
論文鏈接:https://link.aps.org/doi/10.1103/PhysRevLett.128.093902
轉載請注明出處。







相關文章
熱門資訊
精彩導讀



















關注我們

