自旋極化的正電子在高能物理、材料物理和實驗室天體(ti) 物理等領域具有廣泛的用途。目前,傳(chuan) 統極化正電子源是基於(yu) Bethe-Heitler機製通過圓偏振伽馬光或縱向極化電子轟擊高Z固體(ti) 靶實現的,但是單發的正電子產(chan) 額隻有飛庫量級(10-15庫侖(lun) ),難以滿足未來正負電子對撞機所需的納庫(10-9庫侖(lun) )以及極化正負電子等離子體(ti) 物理研究中的要求。如何獲得大電量和高密度的極化正電子仍然是巨大的挑戰。
中國科學院物理研究所/北京凝聚態物理國家研究中心光物理重點實驗室L05組博士生宋懷航、研究員李玉同和中國人民大學物理係教授王偉(wei) 民對激光等離子體(ti) 物理中強場量子電動力學(QED)自旋極化效應進行了長期的理論模擬研究【Physical Review A 100, 033407 (2019)】,並發展了國際上首個(ge) 包含電子/正電子自旋極化和光子偏振效應的QED-PIC程序(PIC:particle-in-cell,粒子模擬)【New Journal of Physics 23, 075005 (2021)】。最近,該團隊利用該程序對如何產(chan) 生高密度的極化正電子源進行了研究,發現采用激光固體(ti) 靶實驗上常用構型就可在百拍瓦激光裝置上產(chan) 生極化率30%、電量30納庫的正電子束,其角通量可達到1012 sr-1,在特定能量段上收集的正電子極化率可達到60% 【Physical Review Letters 129, 035001 (2022)】。由於(yu) 該方案采用了實驗中常用的構型(即線偏振激光與(yu) 具有預等離子體(ti) 的固體(ti) 靶相互作用),而不需要特殊的激光和靶設計,所以更具有可行性和實用性。此外,該工作表明在未來百拍瓦激光裝置上的激光固體(ti) 靶實驗中,將不可避免地產(chan) 生大量的極化正電子和電子,所以在此情形下必須考慮電子/正電子的自旋和光子偏振效應的影響。
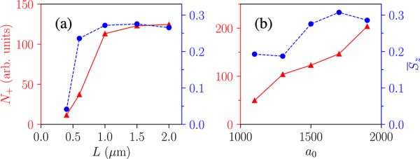
在強場QED領域內(nei) ,受外場偏轉的高能電子會(hui) 通過非線性Compton散射輻射高能伽馬光子,而伽馬光子又可以通過非線性Breit-Wheeler過程高效地湮滅為(wei) 正負電子對。此前研究表明,如果采用非對稱強激光(橢圓偏振激光或雙色線偏振激光)和高能電子束對撞,產(chan) 生的正電子將是自旋極化的。但是激光尾場加速獲得的GeV電子束的電量隻有數十皮庫(10-12庫侖(lun) ),這就導致產(chan) 生的正電子數目低於(yu) 皮庫量級。此外,受限於(yu) 光學器件較低的損傷(shang) 閾值,構造超強的非對稱激光場也是十分困難的。另一方麵,利用十拍瓦、百拍瓦激光與(yu) 等離子體(ti) 相互作用可以產(chan) 生高密度的正電子,然而這些正電子極化性質仍然不清楚,因為(wei) 目前廣泛使用、對以上問題進行研究的QED-PIC程序忽略了自旋極化效應。為(wei) 了弄清這一問題,該團隊利用自主開發的YUNIC QED-PIC程序對百拍瓦量級的激光和固體(ti) 靶作用進行了研究,其中采用了常規的線偏振激光脈衝(chong) (激光場初始對稱)以及靶的前表麵有激光預脈衝(chong) 產(chan) 生的微米標長的預等離子體(ti) 。模擬結果表明,一旦激光強度超過1024 W/cm2時,正電子就會(hui) 出現明顯的極化,並且此極化依賴於(yu) 偏轉角度。對於(yu) 偏轉角大於(yu) 20度的正電子,其極化率可以達到30%,並且可以通過篩選特定能量的正電子進一步將極化率提升到60%(圖1)。正電子和電子的極化可歸結為(wei) 它們(men) 產(chan) 生和脫離激光作用區域時感受到了非對稱的激光場。雖然激光場在入射時是對稱的,但是由於(yu) 激光場在高密度靶前表麵的等離子體(ti) 趨膚層附近被強烈地吸收和反射,同時正電子和電子可以自由地通過此趨膚層。因而,正電子和電子隻經曆了部分的激光場就進入到高密等離子體(ti) 內(nei) ,這導致了它們(men) 在趨膚層附近經曆了高度不對稱的亞(ya) 周期激光場,從(cong) 而獲得了具有角度依賴的自旋極化。在真實實驗中,由於(yu) 激光預脈衝(chong) 是無法避免的,該工作的模擬結果表明它在靶前產(chan) 生的預等離子體(ti) 會(hui) 對正電子的極化和產(chan) 額都具有重要的作用(圖2)。該工作表明對於(yu) 未來的100 PW超強激光與(yu) 固體(ti) 靶相互作用,極化正電子將普遍存在。這些極化的高密度正電子束可以用於(yu) 研究極化正負等離子體(ti) 物理,也可以經過後續加速後應用於(yu) 未來正負電子對撞機。
相關(guan) 研究成果近期發表在Physical Review Letters上。相關(guan) 研究工作得到國家重點研發計劃、國家自然科學基金委項目、中科院戰略性先導科技專(zhuan) 項的支持。

圖1 (a) 激光固體(ti) 靶相互作用產(chan) 生極化正電子的方案:一束線偏振激光入射到一個(ge) 在靶前具有微米密度標長的固體(ti) 靶上。激光作用結束後,(b) 正電子數密度和 (c) 極化率關(guan) 於(yu) 橫向偏轉角和正電子能量的二維分布,以及關(guan) 於(yu) 橫向偏轉角的一維分布。

圖2正電子產(chan) 額和極化率隨(a)預等離子體(ti) 密度標長和(b)激光場強的變化。
轉載請注明出處。







相關文章
熱門資訊
精彩導讀


















關注我們

