-
現場工控組態係統中的動態數據交換技術(二)
3 麵向過程控製的動態參數數據交換程序設計 為(wei) 方便討論問題、現舉(ju) 例說明。根據某生產(chan) 自動化改造工程要求,需要對係統進行組態監控操作平台設計,采用組態軟件ifix2.2和windows應用軟件vb...
2012-12-05 -
現場工控組態係統中的動態數據交換技術(一)
1 引言 在一個(ge) 自動監控(supervisory control and data acquisitionscada)係統中,投入運行的監控組態軟件是係統的數據采集和處理中心、遠程監控中心和數據轉發中心。處於(yu) 運行狀態的監控組態軟件與(yu) ...
2012-12-05 -
直線進給伺服驅動技術及其控製模式(二)
直線進給伺服驅動技術最大的優(you) 點 直線進給伺服驅動技術最大的優(you) 點是具有比旋轉電動機大得多的加、減速度(可達10~30倍),能夠在很高的進給速度下實現瞬時達到設定的高速狀態和在高速...
2012-12-05 -
直線進給伺服驅動技術及其控製模式(一)
從(cong) 數控 機床 的誕生到現在,其進給驅動技術經曆了由步進電機驅動的開環伺服驅動係統、閉環直流伺服係統、及目前廣泛應用的交流伺服係統三個(ge) 階段。雖然進給驅動技術在不斷發展變化,但...
2012-12-05 -
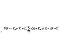
交流位置伺服係統PID控製方法實現(二)
位置環pid控製算法 在數字pid調節控製係統中,引入積分環節的目的是為(wei) 了消除靜差,提高精度,但在過程的開始、結束或大幅增加設定值時,會(hui) 產(chan) 生積分積累,引起係統較大的超調,甚至震蕩...
2012-12-05 -
交流位置伺服係統PID控製方法實現(一)
係統組成原理 該係統由四部分組成,即微機、伺服控製卡、交流伺服調速係統、傳(chuan) 感檢測。主控微機與(yu) 控製卡相連,可以通過數據線發送位置或速度命令,設定pid調節參數,並進行數模(d/a)...
2012-12-05 -
PLC可編程控製器三大發展趨勢
PLC 發展至今已有近40年的曆史,隨著 半導體(ti) 技術、 計算機 技術和 通信 技術的發展, 工業(ye) 控製 領域已有翻天覆地的變化,PLC亦再不斷的發展,掙朝著新的技術發展。 一是PLC 網絡 化技術的發...
2012-12-01 -
如何解決PLC控製係統抗幹擾問題?(二)
4.怎樣才能更好、更簡單解決(jue) PLC係統幹擾? 1)選用隔離性能較好的設備、選用優(you) 良的電源,動力線和信號線走線要更加合理等等,也能解決(jue) 幹擾,但是比較煩瑣、不易操作而且成本較高。...
2012-12-01
排行榜
編輯推薦
關注我們









